Problem Description
A 9 x 6 inch plate is simply supported along its edges.
Material: E = 3e7 psi; ν = 0.3, weight density = 0.282938 lb/in^3
Thicknesses: t = 0.15 inch.
Use a 30x20 mesh.
Determine the first three circular frequencies of the plate, using both the thin Kirchhoff and the thick MITC4 plate formulations.

Suggested Modeling Steps
▪Set proper units from Settings and Tools > Units & Precisions.
▪Generate the plate by Create > Templates > Rectangular Shells. Enter a distance list of “30@0.3” for the X direction and a distance list of “20@0.3” for the Y direction.
▪Select all shell elements, define and assign material properties by Modify > Shell Properties > Materials. Make sure “Assign active material to currently selected elements” is checked in the dialog box.
▪Select all shell elements, define and assign the plate thickness properties by Modify > Shell Properties > Thicknesses. Make sure “Assign active thickness to currently selected shells” is checked in the dialog box.
▪Press ESC key to unselect all. Select the nodes along all edges of the model and assign them pinned supports by Create > Boundary Conditions > Support.
▪Apply self weight by running Create > Draw Loads > Self Weights. Set self weight direction to be global Z and self weight multiplier 1.
▪Set the analysis options by Analysis > Analysis Options. Choose the model type “2D Plate Bending”. Check or uncheck “Use Kirchhoff thin plate bending formulation for rectangular shells”.
▪From Analysis > Frequency Analysis, check “Convert loads to masses”, set number of modes 3, number of iteration vectors 8, tolerance of eigenvalue 1e-6, and maximum number of subspace iterations 18. Click on Run Frequency Analysis.
Results
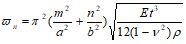
The circular frequencies of a simply supported rectangular plate are calculated according to the following [Ref. 6]:
![]()
where E = 3e7 psi; t = 0.15 in; ν = 0.3; a = 9 in; b = 6 in; ρ = 0.282938 / 386 * 0.15 = 1.0995e-4 lb-sec^2/in^3
For m = 1, n = 1:
rad/sec
For m = 2, n = 1:
rad/sec
For m = 1, n = 2:
rad/sec
The comparison of the circular frequencies between the program and the theoretical results is excellent.
Circular frequencies |
Thin Plate Formulation |
Thick Plate Formulation |
Theoretical |
|
3633 |
3616 |
3636 |
|
6982 |
6938 |
6993 |
|
11179 |
11150 |
11189 |
Comments
A relatively fine mesh is employed in this example. The thin plate finite element frequencies are closer to the theoretical results based on classical thin plate theory. The frequencies given by thick plate formulation are a little smaller than those given by thin plate formulation. This is expected because thick plate formulation accounts for shear deformation and the plate is therefore modeled with less stiffness.