Click Analysis Results > Shell Forces, Moments & Stresses > Shell Principal Stresses to see a table of shell principal stresses. The Shell Principal Stresses table appears.

Select the desired Load Combination.
Choose whether the table should display results for the selected entities or for all entities.
Specify the stress locations to be at the nodes and/or the center of each shell by clicking Settings and Tools > Data Options.
The table reports stresses for the desired shells.
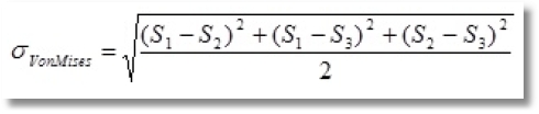
The shell forces and moments include Top and Bottom values for:
•S1: 
•S2: 
•S3: S3 = 0
•Von Mises: 
The table can be printed with the Print button.