Steel Design > Steel Design Tools > Steel Section Check allows you to perform steel section capacity check.

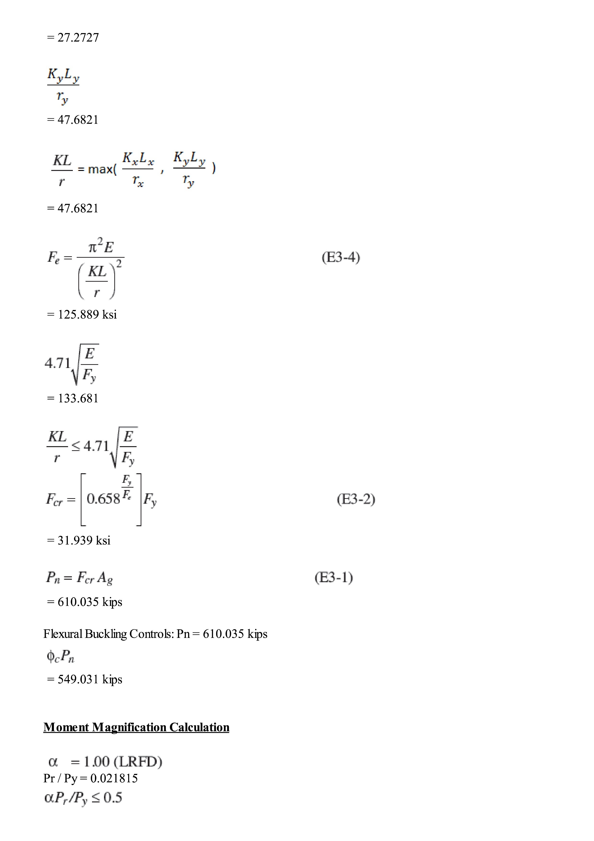
Lux, Luy and Luz are unbraced lengths in local x, y and z directions. Kx, Ky and Kz are unbraced length factors in local x, y and z directions.
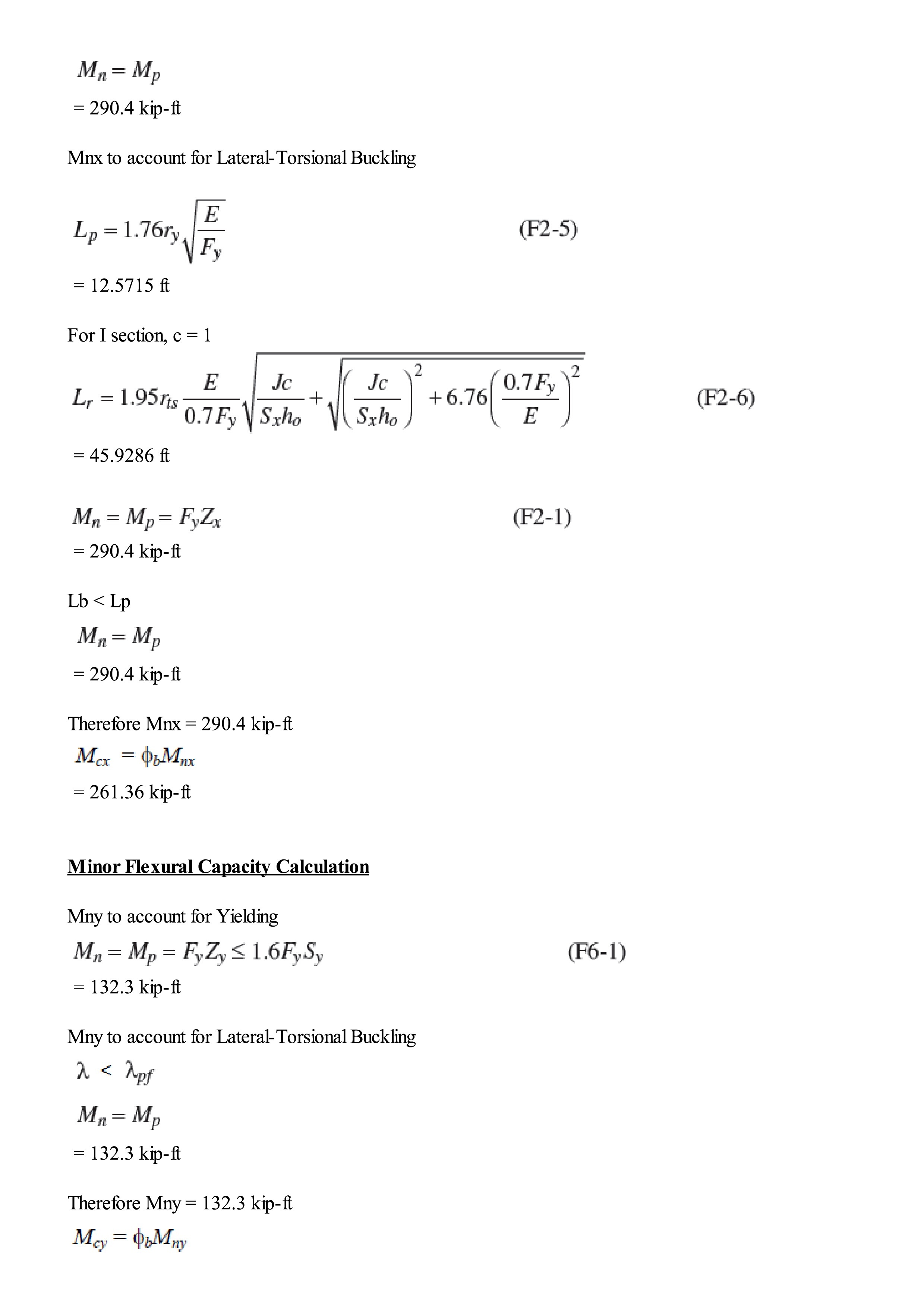
Lb is the unbraced lateral length. Cb is the lateral-torsional buckling modification factor for non-uniform moment diagrams. It should be greater or equal to 1.0. You can use 1.0 for Cb conservatively.
Connector Distance is used for double angles only.
Pu, Mux, Muy, Vux, Vuy are required axial, major moment, minor moment, major shear and minor shear. For Pu, the compressive force is positive while tensile force is negative. Moment Mux is positive when section top most fiber is under compression. Moment Muy is positive when section rightmost fiber is under compression. Moment magnification may be optionally considered to account for the P-delta (P-δ) effect.
If direct design method is chosen, the program will calculate stiffness reduction parameter based on Eq. C2-2a and C2-2b of the code.
Cmx, Cmy are coefficients accounting for non-uniform moments when computing moment magnification. You can use 1.0 for Cmx and Cmy conservatively. If Cmx or Cmy is 0, 1.0 is used in the computation instead.
Results include axial capacity (phi-Pn), moment capacity (phi-Mnx, phi-Mny), shear capacity (phi-Vnx, phi-Vny), moment magnification factors (B1x, B1y) and critical ratio. The section is deemed safe to resist a load if the critical ratio is less than 1.0, otherwise, the section is deemed unsafe. Please note that for single angle, the moment capacity is given about the principal axes (w-w and z-z).






