|
<< Click to Display Table of Contents >> Navigation: Static Analysis > P-Delta (P-Δ) vs. P-delta (P-δ) |
The P-Delta (P-Δ) refers to the second order effect associated with the lateral translation of the members [Ref. 10, 11, 12]. Consider the moment M at the bottom of the column in the figure below.

If the effect of the axial force on bending is ignored, M = H * L. However, if the effect of the axial force on bending is considered, M = H * L + P * Δ. The increase in moment in turn increases the deflection Δ, which further increases M, and so on. An equilibrium will eventually be reached unless the axial load P exceeds the column critical buckling load.
P-delta (P-δ) refers to the second order effect associated with the member curvature [Ref. 10, 11, 12]. Consider the moment M at the middle of the column in the figure below.

A secondary moment P * δ is induced by the axial load acted upon the lateral defection of the column. This additional moment will cause more lateral deflection, which in turn will induce more secondary moment, and so on. An equilibrium will eventually be reached unless the axial load P exceeds the column critical buckling load.
The presence of the axial force in effect reduces the column bending stiffness. The member geometric stiffness accounts for this reduction. The P-Delta analysis in the program is capable of handling both P-Δ and P-δ effects. In order to account for the P-δ component, however, you must split compression members (columns) into several segments. Normally four segments for each column are enough. The program provides the command Edit > Split Members to automatically split members.
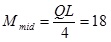
As an example [Ref. 13], assume in the figure above, the beam-column is of L = 12 ft in length, and is subjected to an axial compressive load of P = 100 kips and a transverse load of Q = 6 kips at midspan. The member section: 4 x 4 inches, I = 21.33 in4, A = 16 in2. The material: E = 30000 ksi, υ = 0.30. Theoretical results are calculated as follows:
Linear (bending only):
ft-kips;
in
P-δ (bending and axial load):
radian (or 51.57o)
ft-kips;
in
To solve this problem in the program, we can create one linear load combination and one P-Delta load combination. Since the problem involves the P-δ effects, the beam-column must be modeled with multiple elements (4 beam elements generally sufficient). The results from the program are compared with the theoretical results below:
The moments and deflections at the midspan for linear and P-δ behaviors
Analysis Type |
Effects |
ENERCALC 3D |
Theoretical |
|---|---|---|---|
Linear |
δmid (in) |
0.5832 |
0.583 |
Mmid (ft-kips) |
18 |
18 |
|
P-δ |
δmid (in) |
0.8643 |
0.864 |
Mmid (ft-kips) |
25.203 |
25.2 |